今年流感的流行形势较为严峻,流感历来被视为呼吸系统疾病,实际上,它对心血管系统所造成的危害和负担同样严重。我与大家回顾现有部分研究并分享我们团队开展的一些工作。
一、流感流行与心血管超额死亡的关联
前几年,我们与北京市CDC王全意主任团队合作了一项研究。该研究提示,流感流行季节与心血管疾病的超额死亡间存在显著相关。如下图所示,红色曲线代表流感流行强度,其高峰时段与心血管疾病死亡的发生在时间点上完全吻合。
同样可以看到,当进一步将心血管疾病死亡分解为缺血性心脏病死亡、缺血性脑卒中死亡以及出血性脑卒中死亡后,发现流感流行与缺血性心脏病死亡、脑卒中死亡明确相关,与出血性脑卒中死亡的相关性则较弱。
流感感染所导致的心血管死亡风险可持续约一个月。在感染后一个月至五周左右,其带来的额外风险才逐渐回落到基线水平。数据分析显示,流感流行强度每增加10%,心血管疾病的超额死亡比例将相应上升。
进行换算后可知,若以今年流感流行高峰期接近60%的检测阳性率估算,相当于在冬季流感高峰季节发生的脑卒中事件中,约有17%可归因于流感感染。因此,流感是诱发各种心血管疾病(特别是缺血性疾病事件)的一个重要因素,因为在流感流行期间,机体严重的炎症反应、全身性内皮损伤以及高凝状态都会导致患者发生缺血性事件的风险增加。
我们曾接诊过一位患者,他在近期冠脉造影检查中显示约30%-40%的狭窄,并无严重病变,但他在同时感染流感和COVID-19后却发生了大面积心肌梗死。这常常是因为全身性炎症反应可触发斑块不稳定、破裂并形成血栓,从而导致严重后果。
二、呼吸道感染对心衰等心脏疾病的影响
大家或许还对2018年发表在《新英格兰医学杂志》上的一篇文章有印象,这篇文章发表后曾被多家媒体转载,其核心结论是:流感感染会将急性心肌梗死的发病风险提升6倍。该研究采用病例交叉的研究方法:即比较同一个体在流感感染后7天内(暴露期)发生心肌梗死的风险,与其在一年内其他时间(对照期)发生心肌梗死的风险。结果显示,在感染初期一周内,心肌梗死风险升高约6倍,随后该风险逐渐下降,约一个月后不再显著。
这些研究间接证实了流感与心肌梗死之间的强关联。目前已有众多研究观察到此现象。不久前发表在心血管领域的重要期刊《美国心脏协会杂志》(J Am Heart Assoc)上的一篇荟萃分析汇总了流感和心肌梗死相关性的研究。结果显示,在流感感染后1-7天内,心肌梗死风险升高至7.2倍;8-14天内为1.87倍;15-28天内为1.55倍(下图左)。流感与脑卒中风险的相关性同样显著:感染后1-7天内风险为5.54倍,8-14天内为6.4倍(下图右)。这些结果与我们报告的研究一致,表明流感感染后28天内,患者发生心肌梗死和脑卒中的风险持续升高。因此,在这段“风险窗口期”内加强预防至关重要。当然,最理想的策略是预防流感本身的发生。
流感已流行多年,而近几年COVID-19也被视为重大威胁,下图比较了两者对心血管疾病的影响:就心肌梗死而言,COVID-19感染后14天内风险升高约3.35倍,15-28天内约为3.13倍,其升高幅度总体低于流感,但风险持续时间可能更长,至28天时风险仍未完全回落。脑卒中风险方面,COVID-19感染后1-14天内风险约为3.36倍,15-28天内约为1.32倍。总体而言,流感每年导致约29万至65万人死亡,COVID-19虽然对呼吸系统影响可能更大,但其对心血管的影响强度似乎不及流感。
三、预防流感可能带来的获益?国内外有哪些研究荟萃?
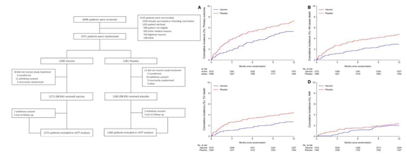
既然流感是一种可预防的疾病,那么流感疫苗能否预防其带来的心血管方面的后果呢?过去相关研究不多,且样本量较小,仅数百例,结果可靠性有限。而IAMI研究是首个规模较大的随机对照试验,共纳入约2500名患者,采用安慰剂对照,主要终点为全因死亡、心肌梗死和支架内血栓形成。入选患者为急性心肌梗死患者,并在心梗后平均3天内接种流感疫苗。过去我们常常会思索,什么时候打疫苗是安全的?但再想想,还有比“刚刚心梗不到3天的患者”风险更高的人群吗?该研究正是在此高风险窗口期内进行接种的。
结果显示,疫苗接种组的主要复合终点事件显著减少。下图有所展示,可见全因死亡本身降低了约40%,心血管死亡同样降低了相近幅度,心肌梗死事件也呈下降趋势(尽管因发生率较低,差异未达显著水平)。该研究提供了极具说服力的证据,并且是安慰剂对照的、高等级循证医学证据。
图:心肌梗死后流感疫苗接种。为一项随机、双盲、安慰剂对照的多中心试验,主要终点指标为随机分组后 12 个月内所有原因导致的死亡、心肌梗死或支架血栓形成的综合情况
除了与心肌梗死、脑卒中的关联,流感最大的影响可能在于诱发或加重心力衰竭。正如刚才讨论的,我们冬季的病房里满是心衰加重和流感感染的患者,还会出现患者因心衰加重入院,却在院内感染流感的情况。医护人员在流感季也常大批病倒,但在许多国家如澳大利亚、美国,医护人员未接种流感疫苗是不被允许上岗的,因为这不仅关乎自身感染,也涉及疾病传播。我们希望通过持续的宣教,推动相关政策和循证医学指南的制定。
一项美国监测数据显示,流感活跃度(下图浅蓝色曲线)与心衰住院率在时间上完全吻合。该研究计算得出,流感流行强度每增加5%,心衰住院风险会增加24%。考虑到今年我国流感流行强度高峰曾达60%,这将导致心衰住院风险大幅上升。因此流感流行季节,心衰病房常住满了患者。这些现象启发我们思考:为何不利用流感疫苗来避免这种情况?
已有研究揭示,心衰与流感关系密切。心衰患者因肺淤血、体质虚弱,且需频繁往返医院就医、取药,接触病毒机会多,易感性高。其发生呼吸道感染的风险是普通人群的3倍,一旦感染,死亡率是普通人群的4倍。每次感染诱发的心衰加重都可能导致患者心功能无法恢复至原有水平,多次加重最终使病情走向终末期。我们总是处理心衰的医生都熟悉这条曲线:所有心衰加重事件中,约1/3由感染诱发,而流感是最常见的感染类型。因此,再次强调,预防流感对心衰患者尤为重要。
一项丹麦的观察性研究发现,连续三年接种流感疫苗的心衰患者,其死亡风险降低28%;若三年内仅接种一剂,风险降低11%,这呈现出了量效关系。但观察性研究也可能存在偏倚,例如依从性好、注重健康的患者更可能接种疫苗,因此获益是也可能是来源于患者对自我健康的管理,而不仅是疫苗本身。
该研究还提示了一个有趣现象:接种时机影响保护效果。9月接种保护效应最强,随后逐月递减,可能因为推迟接种错失了在流行季前获得保护的机会。因此我们提倡尽早接种。
相比观察性研究可能存在的偏倚,随机对照试验能提供最高等级证据。IVVE研究在心衰患者中开展了一项安慰剂对照的随机对照试验。由于心衰相关的指南普遍建议患者接种流感疫苗,使用安慰剂存在伦理考量,但在世界卫生组织(WHO)批准下,该研究于流感疫苗接种率本来就很低的低收入国家进行。研究纳入18岁以上、心功能II-IV级的心衰患者随机分组接受流感疫苗或安慰剂注射。主要终点为心血管死亡、非致死性脑梗和非致死性心梗这三个终点;蓝色线为疫苗,红色线为安慰剂,可见略有差异。但不显著。
第二个终点包括了心衰住院,这时两组差距有所扩大,或许是因为“心衰住院的事件是被预防最多的事件”。
该研究事先设定了敏感性分析,即排除非流感季节(如北方的夏季)发生的死亡和心衰加重事件,因为将这些事件纳入会稀释疫苗的真实效应。如下图右上所示,非流感季两组事件发生率完全重叠。排除这部分事件后,主要终点的风险比达到显著性差异(HR=0.82)。第二个终点的风险比也有所改善(从0.91降至0.87)。非流感季两组曲线同样重叠。
因此,IVVE研究未能给出肯定结论,我们仍需确证性研究来明确流感疫苗对心衰患者是否有益。
目前,我国心衰患者流感疫苗接种率仅为0.6%,甚至低于一些非洲国家,我们在此基础上开展了PANDA II研究,因为对照组的患者基本不会接种疫苗,不愿接种疫苗的原因包括:许多地区流感疫苗未纳入医保,需自费;存在对疫苗的错误认知,社会还常见一些反疫苗宣传;以及担心心衰患者接种不安全等。
PANDA II研究采用群组随机对照设计。我们并非对个体患者进行随机,而是将入选的医院随机分为两组:对照组维持常规护理;干预组则采取创新措施,将流感疫苗采购至病房,在患者出院前免费为其接种。然后观察次年干预组全因死亡和全因住院的发生率是否低于对照组。
研究主要在县医院开展,旨在避免医院间交叉污染,因为县内患者通常只在本地就医。要求每家医院在一个流感季内连续入选50例心衰患者作为一个“群组”。我们排除了已有免费流感疫苗政策的地区,如北京、河南新乡等地。初期研究在北方省市开展,因其流感季明确,第三年时增加了三个南方省市。
为避免随机后偏倚(例如干预组医院可能倾向于入选更健康的患者),我们进行了条件限制,要求所有参与医院必须连续入选符合条件的所有患者,并核查其入选情况,确保两组患者具有可比性。
研究几乎未设置排除标准,仅排除了生命垂危、即将转院或放弃治疗回家的患者。
干预组实施方式:与当地疾控中心(CDC)协作,在医院内设立临时接种点。评估了护士资质后,将50支疫苗存放于病房冰箱。患者在出院前24小时内、病情已经稳定时接种。对照组患者则被建议至社区自费接种,但实际接种率极低。
主要终点为全因死亡和全因住院(考虑到重症心衰患者死亡多为心血管原因,且收集具体死因成本高、难度大)。但我们认为疫苗起效需要时间,因此排除了出院后一个月内发生的事件,在北方省份也排除了6月1日至8月31日这段夏季、非流感季发生的事件,因为南方省份夏季也有流感高峰,所以未排除。
我们在IVVE研究发表前即完成了PANDA II研究的设计与实施,并有幸借鉴了经验丰富专家的建议,排除了夏季事件,避免了IVVE研究遇到的稀释效应的问题。不过后续分析表明,即使不排除这些事件,结果的差异依然显著。
PANDA II研究主要结果:历时三年,共随机分配168家医院,其中有些医院多次参与,每次均重新随机,纳入超过7700例患者。干预组疫苗接种率达94.4%,对照组仅为0.5%。关键结果显示,在这些重症心衰患者中(对照组年事件率高达47%),接种流感疫苗可带来明确获益,可以理解为每给27例重症患者接种流感疫苗,就能预防一次死亡或住院事件。所有次要终点(如12个月全因死亡、6个月终点等)及事后分析(不排除夏季及出院后一个月事件)的结果均显示出一致的显著性差异。
因此,PANDA II研究提供了至关重要的信息:我们可以使用接种流感疫苗这种经济、有效且易于实施的干预措施来显著减少心衰患者的死亡和住院。心衰治疗的难度很高,想要实现类似效果需要非常艰难的药物治疗,而我们在临床实践中却错失了这一良机。我们期望该研究发表后能引起相关部门的重视,推动政策改进。
其他相关研究:一位丹麦学者报告了其团队同日在《新英格兰医学杂志》、《JAMA》发表的多篇研究比较了高剂量与标准剂量流感疫苗的效果。研究在西班牙和丹麦分别开展,采用相同方案。
主要终点设定为肺炎住院或流感住院。但终点事件数仅约400例,远低于预期的800例,因此《新英格兰医学杂志》未允许其报告p值,这是一个描述性的分析,其中肺炎住院在两组差异并没有那么大,但心血管及呼吸系统疾病住院的事件数高很多,约2000多例。如果这项研究的主要终点不是设置为肺炎和流感的住院,而是把心血管和呼吸系统的所有住院都包括到终点中,很可能就能够观察到显著差异了。
丹麦部分的研究纳入了33万名受试者,主要终点同样为流感和肺炎住院,差异不显著(p=0.14)。但若将呼吸和心血管疾病所有住院合并分析,事件数则高出三倍以上。尽管样本量巨大,但由于高剂量与标准剂量疫苗的有效性差异本身不大,33万人的样本仍不足以检测出差异。
四、流感疫苗接种应被视为治疗的支柱、基石之一
目前流感疫苗的益处尚未被充分认识,大家多关注其预防流感或肺炎的作用,而未意识到其在预防心血管事件方面可能贡献更大。流感本质上是一种引发全身炎症的疾病,需要在高危患者中得到特别重视。我们在心血管疾病管理中常强调控制高血压、高血糖、高血脂,然而,感染性疾病带来的危害同样严重。今年美国心脏病学会和欧洲心脏病学会分别发布专家共识,强调了包括流感疫苗、呼吸道合胞病毒疫苗、带状疱疹疫苗、肺炎球菌疫苗等在内的多种疫苗接种在心血管疾病预防中的重要作用。
综上所述,对于心血管疾病患者,流感疫苗接种应被视为治疗的支柱、基石之一,在医院内为患者接种流感疫苗是改变目前低接种率现状最有效的措施。
参考文献
[1] BMJ Open 2020;10:e042487.
[2] N Engl J Med 2018;378:345-53
[3] J Am Heart Assoc. 2025;14:e042670
[4] Circulation 2021;144:1476–84.
[5] JAMA Cardiol 2019;4;(4):363-369.
[6] Circulation. 2019;139:575–586.
专家介绍
杜昕
主任医师、教授,博士生导师。首都医科大学附属北京安贞医院心力衰竭和心肌病中心主任,兼任中华医学会心血管病学分会心力衰竭学组副组长、中国医师协会心血管内科医师分会心肌和心包疾病学组副组长,中国生物医学工程学会心律分会临床研究学组组长。Circulation、中华心血管病杂志等杂志编委;承担国家自然科学基金、 “十二五”国家科技支撑计划、“十三五”国家重点攻关计划、“国家科技重大专项”等多项科研项目。以第一作者或通讯作者在Lancet、Circulation、Journal of the American College of Cardiology、European Heart Journal、Hypertension、Stroke等杂志发表论著多篇。专长:心力衰竭、心肌病的诊治。
本文由《呼吸界》编辑 Jerry 整理,感谢杜昕教授的审阅修改!
* 文章仅供医疗卫生相关从业者阅读参考
本文完
直播导演:刘迪
设计制作:张馨月
责编:Jerry
