《NEJM医学前沿》(NEJM)特邀同济大学附属同济医院徐金富教授总结2025年呼吸疾病领域重要临床研究,包括支气管扩张症、慢性阻塞性肺病、嗜酸表型的慢性阻塞性肺病/哮喘和支气管哮喘等内容。(《NEJM医学前沿》由嘉会医学研究和教育集团(J-Med)与《新英格兰医学杂志》(NEJM)联手打造,已连续第8年推出重要临床研究盘点。)
刘杨,徐金富*,
同济大学附属同济医院;同济大学呼吸病研究所
*通讯作者
2025年,慢性气道疾病(包括慢阻肺病、支气管扩张症和支气管哮喘)领域临床研究亮点纷呈,一系列颠覆性成果持续改写疾病指南。慢阻肺病、哮喘生物制剂应用等传统研究热点持续深化,支气管扩张症(支扩)靶向治疗等关键领域斩获高价值循证证据。本文将系统回顾2025年关键突破,与读者共同见证慢性气道疾病防治从经验驱动向精准循证跨越的黄金阶段发展。
支气管扩张症
中国支扩基线特征研究填补空白,确立中国患者群体画像
支扩作为高异质性慢性气道疾病,其全球患病率呈上升趋势。长期以来,国际学界对该疾病的认知主要依赖欧美国家数据,中国患者的病因分布、疾病负担、治疗现状等核心特征缺乏大规模、多中心的系统研究。
在此背景下,联合全国众多专家的中国支扩联盟(BE-China)正式成立。中国支扩患者注册登记研究由瞿介明教授和徐金富教授牵头,旨在揭示中国支扩患者的临床特征及异质性,提升支扩规范诊治能力,并为多中心随机对照试验及真实世界研究提供平台。2025年1月,《柳叶刀·呼吸医学》发表了中国最大规模的前瞻性支扩患者队列[1],全面解析中国支扩患者基线特征信息,为优化疾病诊疗策略提供循证基础。
研究共纳入了来自全国97家中心的10,324名支扩患者,并与欧洲数据进行精确比对。研究核心发现如下:
1)中国支扩患者的主要病因为感染后因素与结核相关病变,慢阻肺病、哮喘为常见合并症,但占比与欧洲患者差异显著,需统一病因诊断标准并强化合并症筛查;
2)患者急性加重比例与住院率不匹配,可能与医保政策覆盖范围、患者住院治疗倾向相关,高住院率推高重度病例占比,且地区间临床特征异质性明显,需研发区域适配的疾病评估工具;
3)病原体分布受地理与经济条件影响,铜绿假单胞菌、非结核分枝杆菌分离率较高,部分病原体或因检测不足被低估,需提升诊断技术与微生物检测全面性;
4)在治疗层面,气道廓清治疗、吸入性抗生素等规范预防干预的使用率显著低于西方国家,规范化治疗水平亟待提升;
5)中低收入地区患者疾病负担更重,呈现年轻化、并发症多、病情重、预后差等特点,经济与疾病形成恶性循环,需制定差异化干预策略。
该研究不仅为国内相关临床试验与真实世界研究提供平台,也为全球支扩地域分层研究提供中国证据,同时为呼吸道慢病卫生政策制定、药物研发方向确定提供了直接数据支撑。
DPP-1抑制剂brensocatib:支气管扩张症治疗新希望
中性粒细胞炎症与支扩患者病情反复急性加重和疾病进展风险增加密切相关。brensocatib是口服二肽基肽酶1(DPP-1)可逆性抑制剂,以中性粒细胞丝氨酸蛋白酶为靶点,调控炎症反应。
2025年4月《新英格兰医学杂志》(NEJM)发表的James Chalmers教授牵头的3期ASPEN研究[2]进一步拓展了此前发表的WILLOW研究证据。研究纳入1721例患者(含41例青少年),随机分为brensocatib 10 mg、25 mg及安慰剂三组,以52周疾病急性加重年发生率为主要终点。按分层检验顺序,次要终点涵盖首次加重时间、无加重患者比例、第一秒用力呼气量(FEV1)变化、严重加重年发生率及生活质量评分变化。
研究结果显示,brensocatib 10 mg组、25 mg组及安慰剂组急性加重年发生率分别为1.02次/年、1.04次/年和1.29次/年。与安慰剂组相比,10 mg组和25 mg组的急性加重发生风险分别下降21%与19%。治疗52周后,brensocatib 10 mg与25 mg组的无病情加重患者比例均显著高于安慰剂组(48.5% vs 48.5% vs 40.3%)。肺功能方面,第52周时10 mg组、25 mg组及安慰剂组的FEV1分别下降50 mL、24 mL和62 mL。此外,除brensocatib组角化过度发生率较高外,各组其他不良事件的发生率无明显差异。
图1. 52周治疗期间的急性加重、至首次急性加重时间、无急性加重患者以及FEV1变化[2]。
ASPEN研究通过大规模、长期数据证实了brensocatib对青少年及成年支扩患者的多重临床获益,为该疾病首个靶向治疗药物的获批提供了核心循证支持,推动疾病治疗从对症缓解迈向精准靶向。在国际范围内,针对同一靶点的药物研发还包括勃林格殷格翰公司开发的一款新药,该药物正在国内开展临床试验,而国内企业如复星医药等公司的该靶点药物研发及临床研究工作也正在中国支扩联盟体系内中迅速开展。
黏液活性药物治疗支扩的里程碑式探索
支扩以慢性咳嗽、大量脓痰为主要临床表现,核心病理机制是气道黏液清除功能障碍形成的“分泌物潴留-细菌定植-慢性气道炎症”恶性漩涡。这一机制使得黏液活性药物成为理论上关键干预手段。长期以来,黏液活性药物的临床价值存在显著争议,根本原因在于缺乏循证依据,在此背景下应运而生的CLEAR研究旨在系统评估两类主流黏液活性药物的真实疗效。
2025年9月,NEJM发表了CLEAR研究结果[3],为这一长期存在的临床难题提供了迄今最有力的循证答案。CLEAR研究是采用2×2析因设计的多中心、随机、对照临床试验,纳入英国20个临床中心的288例非囊性纤维化支扩患者。为确保研究的科学性,研究者特意排除了吸烟者和近期使用过黏液活性药物的患者。患者按1:1:1:1比例随机分配至四组,分别接受高渗盐水(高渗盐水组)、高渗盐水联合羧甲司坦(联合治疗组)、羧甲司坦(羧甲司坦组),或单纯标准治疗。主要结局是52周内急性加重次数,次要结局包括生活质量评分、距离下一次急性加重的时间以及安全性。
结果发现,52周内高渗盐水组、羧甲司坦组、联合治疗组的急性加重次数,与单纯标准治疗组相比均无统计学显著差异(P值均>0.05)。各组次要终点(肺功能、首次急性加重时间、生活质量评分)及不良事件(包括严重不良事件)发生率相似。
表1. 意向性治疗人群结局[3]
CLEAR研究的核心价值在于其结果的高度一致性,其主要终点、次要终点均未显示临床获益。CLEAR研究作为该领域首个高质量析因设计随机对照试验,其阴性结果虽颠覆传统认知,但仍具有重要临床指导价值,为未来指南修订提供了核心依据。研究未完全否定黏液活性药物价值,而是提示单纯药物干预无法替代物理排痰等主动清除手段,未来黏液活性药物的研发需突破单纯稀释痰液的传统思路,转为靶向黏液清除机制修复(如改善纤毛运动功能)的创新靶点,推动支扩治疗从经验性排痰向精准化管理转型,为后续疾病控制策略的优化奠定基础。
大环内酯治疗支扩迎来症状导向新时代
支扩反复急性加重是疾病进展的核心风险,目前国际指南仅推荐每年急性加重≥3次的患者长期使用大环内酯类药物。但这一标准令很多症状缠身但急性加重次数不够的患者陷入治疗空白。
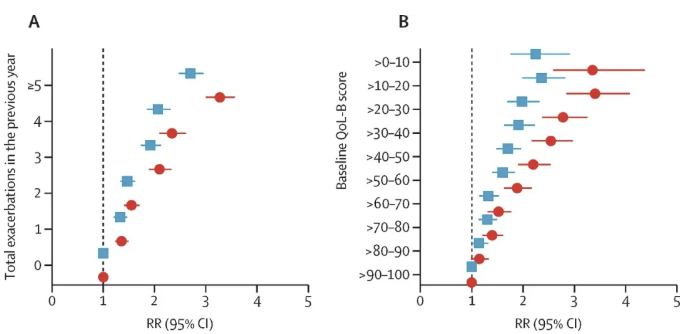
2025年10月发表于《柳叶刀·呼吸医学》的重磅观察性研究[4],彻底打破了这一局限。研究采用真实世界数据+临床试验荟萃的双重设计,整合欧洲支扩注册库(EMBARC)的9466例患者纵向数据,同时纳入三项大环内酯类药物随机对照试验(BLESS/BAT/EMBRACE)的341例患者数据。
结果发现,症状负荷是未来急性加重的独立预测因子,与既往急性加重史同等重要。QoL-B-RSS评分(支扩患者呼吸道症状生活质量评分)每降低10分,未来1年急性加重风险增加10%,而每多1次既往急性加重,风险增加11%。无既往急性加重但症状严重的患者,其未来急性加重风险的率比为1.55,而有3次急性加重史但症状中等的患者风险的率比为1.58。这说明,若仅以年加重≥3次为治疗门槛,将会遗漏部分症状负担沉重的高危患者。症状负荷重但急性加重次数少的患者,长期接受大环内酯治疗的需治数仅为1.43,与指南推荐的频繁急性加重患者(需治数,1.45)获益相当。
图2. 既往急性加重和基线QoL-B-RSS评分的估计率比[4]
研究打破仅看急性加重次数的单一逻辑,证明症状负荷可作为独立治疗依据,为支扩精准治疗提供了全新思路,有望推动支扩治疗策略的根本转变,从被动应对转向主动预防,让更多患者受益。2025年欧洲呼吸学会(ERS)支扩指南更新“强推荐高危支扩患者长期使用大环内酯”,未来指南可能明确纳入症状负荷作为治疗决策指标。
ERS八年磨一剑,修订支扩指南
2017年推出的ERS首个支扩指南因缺乏高质量研究,多数建议仅为有条件推荐。而过去8年,支扩领域临床试验百花齐放,brensocatib 3期试验等重磅数据涌现,加上全球患者登记库的海量真实世界证据,为指南升级奠定了坚实基础。
2025年9月,《欧洲呼吸杂志》发布了2025版支扩指南[5],聚焦精准评估、规范治疗、降低负担三大目标,用更明确的推荐解答当前临床困惑。本次指南从评估到治疗,涵盖5大核心更新:
1)病因筛查标准化
指南首次提出支扩病因筛查强制清单,强推荐所有新确诊患者完成三类核心检测:免疫筛查排查免疫缺陷;感染筛查包括痰分枝杆菌镜检、培养排查非结核分枝杆菌、烟曲霉特异性抗体明确支扩特殊亚型;特殊人群扩展检查,如儿童期起病者查囊性纤维化、原发性纤毛运动障碍相关指标,基底部肺气肿患者加做α-1抗胰蛋白酶检测。同时明确高危人群标签,符合以下任一条件需密切随访:年急性加重≥2次或1次严重加重、铜绿假单胞菌感染、症状严重(大量脓痰)、合并慢阻肺病/类风湿性关节炎等基础病者。
2)气道廓清扩围
打破2017版指南仅推荐用于排痰患者的局限,新版指南指出即使是干咳但CT显示黏液嵌塞的患者也可能受益。指南强调气道廓清由呼吸治疗师个性化指导,手动技术与辅助设备均可选用,且急性加重期也可开展。
3)抗生素使用分层化
两类药物获强推荐:(1)吸入性抗生素:铜绿假单胞菌感染者必用,针对接受标准治疗后仍频繁加重的患者,指南给出明确路径。强推荐慢性铜绿假单胞菌感染者长期使用吸入性抗生素;附条件推荐其他耐药菌感染者酌情使用。(2)大环内酯类:所有急性加重高危患者均可获益,放宽既往每年急性加重≥3次的要求,但强调用药前必须排除非结核分枝杆菌感染,避免单药诱导耐药。
4)祛痰药去留分明
祛痰药不可替代气道廓清治疗,需作为综合方案的一部分使用,不建议使用重组DNA酶(DNase),打破此前盲目用药状况。
5)合并症管理一体化,心理问题也被纳入筛查
新版指南强调整体管理,筛查心血管疾病、骨质疏松、焦虑抑郁症状,同时也要关注鼻窦炎、胃食管反流病,明确这些合并症需同步治疗。
ERS 2025指南用循证证据为支扩管理划重点,从病因到并发症、从稳定期到加重期实现全病程覆盖,为临床实践提供标准化框架,改善疾病预后。
慢阻肺病
被忽视的气道堵点:隐藏肺功能衰退密码
慢阻肺病的核心特征是气道阻塞与肺功能进行性下降,但患者群体中肺功能下降速率存在一定异致性。黏液栓是气道黏液淤积形成的固态堵塞物,CT上常表现为细支气管内的条带状高密度影。这些小堵点是否会持续损伤肺功能、对病情有何影响?目前尚无解答。
2025年5月,NEJM发表了一项基于COPDGene的全球最大规模的黏液栓纵向追踪研究[6]。研究用基线CT+5年随访CT的纵向设计,针对黏液栓的危害绘制精准时间地图。该研究纳入2118例有10包年以上吸烟史的慢阻肺病患者,覆盖GOLD 1~4期,确保样本代表性。根据两次CT结果,将患者分为4组:1)持续阴性:基线和随访均无黏液栓;2)已消失:基线有、随访无;3)新发阳性:基线无、随访有;4)持续阳性:基线和随访均有。对比4组患者5年内的FEV1年下降速率,同时分析吸烟状态(持续吸烟/戒烟/复吸)对两者关联的影响。
该研究的三大发现,颠覆以往对黏液栓的认知:
1)黏液栓越多,肺功能下降越快
5年随访数据显示,FEV1年下降速率与黏液栓状态呈阶梯式关联,持续有黏液栓的患者,肺功能下降速率比无黏液栓者快近一倍,5年累计多损失116 mL FEV1,相当于肺功能衰老一倍。
2)黏液栓动态变化决定病情走向
基线有黏液栓但随访时消失的患者,肺功能下降速率与从未有过黏液栓的人几乎一致,相当于肺功能衰退按下暂停键;基线没有但随访时新发黏液栓的患者,下降速率飙升至每年54.9 mL(比阴性组快47%),提示黏液栓是病情加速恶化的早期信号。
3)吸烟让黏液栓的危害雪上加霜
当包括黏液栓变化类别与吸烟状态之间的交互项时,FEV1下降最陡峭的是恢复吸烟的持续阳性组参与者,而下降最慢的是黏液栓已消失组的戒烟参与者。即使是新发阳性组,持续吸烟者的肺功能下降也比戒烟者更显著,证实吸烟+黏液栓是慢阻肺病的致命组合。
图3. 黏液栓变化情况对5年时FEV1的影响[6]
研究明确气道黏液栓的动态变化与慢阻肺病患者肺功能衰退速率直接相关,为临床通过CT筛查黏液栓识别高危人群、靶向清除黏液栓及强化戒烟干预以延缓疾病进展提供了关键循证依据。
GOLD 2025:精准靶向治疗开启新纪元
过去慢阻肺病治疗依赖支气管扩张剂、激素等传统药物,但仍有部分患者频繁急性加重、肺功能逐年下滑。近年来,恩塞芬汀、度普利尤单抗等创新药物的3期临床试验接连取得突破,肺功能评估、共病管理的新证据涌现。2025年1月,GOLD报告时隔2年迎来重大升级[7],首次纳入靶向新药、重构评估体系,标志着慢阻肺病治疗从一刀切迈入精准靶向时代。从诊断到治疗,该报告包括5大核心更新:
1)肺功能诊断流程化
新版报告首次给出肺功能检查流程图,彻底解决临床诊断困惑:若吸入支气管舒张剂前第一秒用力呼气量/用力肺活量(FEV1/FVC)≥0.7且无明显症状,可排除慢阻肺病;若数值<0.7,必须用吸入支气管舒张剂后数值确诊;对于症状明显但前测正常者,需补做舒张试验,尤其是FEV1/FVC在0.6~0.8的人群,未来进展风险极高,需密切随访。报告同时指出Z值(−1.645相当于第5个百分位数)与正常下限(LLN)具有同等诊断价值,避免单一标准漏诊。
2)治疗进入靶向时代
两款新药首次写入指南,这是本次更新最重磅的突破。恩塞芬汀与度普利尤单抗凭借硬数据获明确推荐,覆盖不同类型患者:(1)恩塞芬汀:作为全球首个吸入式磷酸二酯酶(PDE)3/4双抑制剂,具有扩管+抗炎+排痰三位一体的治疗效果。ENHANCE研究数据显示,用药24周后患者FEV1、日常活动耐力改善,且急性加重风险降低41%。它既是慢阻肺病稳定期患者的基础治疗新选择,更是激素不耐受、老年、双药控制不佳等特殊人群的精准解决方案;(2)度普利尤单抗:全球首个慢阻肺病生物制剂,阻断IL-4/IL-13信号,精准抑制2型炎症。数据显示在过去一年内有≥2次中度急性加重或≥1次重度急性加重病史以及血嗜酸性粒细胞(EOS)计数≥300个/μL的患者中,治疗后52周,急性加重风险降低、肺功能及生活质量改善。度普利尤单抗适合三联疗法控制不佳的高危患者,合并哮喘、湿疹的患者可一药多治。
3)随访用药阶梯化
报告给出随访期用药阶梯化路径,拒绝盲目换药:单药无效且呼吸困难者,加用第二种长效支气管舒张剂;双药仍无效,考虑加用恩塞芬汀;三联治疗仍加重,若EOS≥300个/μL且有慢性支气管炎,可加用度普利尤单抗。
4)共病管理重点化
报告首次将心血管疾病筛查纳入初始评估,因为慢阻肺病患者心血管疾病死亡率居首位。稳定期患者行常规心血管风险评分会低估风险,建议结合肺功能指标综合判断。急性加重期患者心血管风险显著增加,需重点监测心血管疾病标志物,并根据心血管疾病指征合理使用β受体阻滞剂和他汀类药物。
5)预防措施精细化
报告对疫苗和CT筛查提出新建议。优先推荐PCV21肺炎球菌疫苗(覆盖84%菌株),新增呼吸道合胞病毒疫苗推荐,因其与急性加重密切相关。针对CT筛查,50~80岁、20包年吸烟史者,无论是否戒烟,均需做肺癌筛查;对于持续加重、症状与肺功能不符的患者,也应通过CT评估肺气肿、黏液栓等病变。
GOLD 2025报告用循证证据证明慢阻肺病不再是只能控制不能改善的绝症,随着靶向药物陆续在中国获批,精准治疗对患者的获益正在落地。
上游断炎:特泽鲁单抗精准治疗嗜酸慢阻肺病
慢阻肺病患者的胸腺基质淋巴细胞生成素(TSLP)表达较健康人群增加。特泽鲁单抗(tezepelumab)是一种人源单克隆抗体,可阻断TSLP的活性,此前已在重度哮喘中证实阻断TSLP可强效抗炎,但在慢阻肺病中的疗效缺乏临床试验验证。
2025年1月,《柳叶刀·呼吸医学》发表了一项双盲、随机、安慰剂对照的2a期临床试验[8]。COURSE研究纳入的333例40~80岁中度至极重度慢阻肺病患者,均接受三联吸入维持治疗且入组前12个月内发生≥2次中重度急性加重。参与者按1:1随机分至特泽鲁单抗组或安慰剂组,每4周皮下注射一次对应药物(特泽鲁单抗420 mg),持续52周,主要终点为52周内中重度急性加重年发生率。
结果显示52周内,特泽鲁单抗组与安慰剂组中重度急性加重年发生率分别为1.75和2.11(率比,0.83;P=0.10)。按血EOS分层亚组中,血EOS<150细胞/μL、150~<300细胞/μL、≥300细胞/μL亚组的率比值分别为1.19、0.66和0.54。在安全性方面,特泽鲁单抗组81%患者、安慰剂组75%患者发生不良事件,两组严重不良事件发生率均为30%。研究期间共5例死亡(特泽鲁单抗组2例、安慰剂组3例),研究者评估没有确定死亡与研究治疗有因果关系。
COURSE研究虽未证实特泽鲁单抗能显著降低慢阻肺病患者中重度急性加重年发生率,但数据提示基线血EOS≥150细胞/μL亚组可能获益,为后续聚焦该人群的精准抗炎研究提供了新方向。
美泊利珠单抗:嗜酸慢阻肺病的新选择
慢阻肺病并非单一疾病,按炎症类型可分为多种亚型,其中EOS表型的核心困境是炎症驱动的恶性循环。这类患者因气道内EOS过度堆积,炎症反复失控,进而导致频繁急性加重,常规三联吸入药难以打破这一循环,亟需更精准的抗炎方案。
2025年5月,NEJM刊发了一项3期、双盲、随机、安慰剂对照试验[9]。MATINEE研究纳入了接受三联吸入治疗、血EOS计数≥300/μL,且有急性加重史的慢阻肺病患者。患者按1:1比例分配至靶向IL-5的生物制剂美泊利珠单抗组(100 mg)或安慰剂组,每4周皮下注射一次,持续52~104周。主要终点为中重度急性加重的年发生率。
MATINEE研究结果表明,美泊利珠单抗组的中重度加重的年发生率显著低于安慰剂组(0.80 vs 1.01次/年;率比,0.79;P=0.01),单抗组距离首次中重度加重的时间比安慰剂组显著延长(419天 vs 321天;风险比[HR],0.77;P=0.009),提示单抗药物干预可延缓疾病发作。两组在生活质量和症状评分方面无显著差异,两组的不良事件发生率相似。这一结果表明当血EOS≥300/μL时,IL-5通路抑制的临床获益更显著。该结果让血常规筛查指导精准用药成为可能,可避免生物制剂的盲目使用。
图4. 中重度急性加重的累积次数和发生率[9]
MATINEE研究用精准数据证实,靶向IL-5的生物制剂美泊利珠单抗能有效降低EOS表型慢阻肺病患者的急性加重风险,为三联治疗无效的患者带来新希望,更明确了“谁能最大获益”的答案。未来需结合相关生物标志物如呼出气一氧化氮、痰EOS等优化患者分层,探索多靶点联合治疗策略,以实现慢阻肺病管理的个体化突破。
双靶直击:慢阻肺病抗炎新解
2型炎症表型的慢阻肺病患者气道炎症由IL-4/IL-13共同驱动,两者会诱发黏液过度分泌、气道高反应性,最终导致急性加重频繁发作。度普利尤单抗作为IL-4/IL-13双靶点抑制剂,已在哮喘、特应性皮炎中证实强效阻断2型炎症的疗效,但其在2型炎症表型的慢阻肺病患者中的疗效及安全性尚不明确。
2025年3月,《柳叶刀·呼吸医学》发表了一项汇总分析[10],汇总了BOREAS和NOTUS两项3期随机双盲安慰剂对照试验的意向治疗人群数据。符合条件的40~85岁现/既往吸烟者(吸烟史≥10包年)需满足:慢阻肺病确诊≥12个月,过去1年≥2次中度或1次重度加重(至少1次发生在三联疗法中),筛选时血EOS≥300个/µL,有症状,且过去一年中有≥3个月慢性咳嗽排痰。患者按1:1随机化分组,每2周皮下注射度普利尤单抗300 mg或安慰剂(持续52周),同时接受背景三联吸入治疗。主要终点为52周内中重度加重的年发生率。
该研究共纳入1874名患者,结果显示52周内度普利尤单抗组中重度加重年发生率显著低于安慰剂组(0.794 vs 1.156;率比,0.687;P<0.0001),且距离首次重度加重时间比安慰剂组更长(0.611;P=0.016),但重度加重的年发生率较安慰剂组未显著降低。两组治疗中出现的不良事件无明显差异。
该研究通过两项3期试验汇总分析,基于度普利尤单抗双靶阻断IL-4/IL-13通路的创新机制,证实其在2型炎症慢阻肺病患者中兼具降中重度加重、延缓首次重度加重时间的精准疗效与良好安全性。度普利尤单抗不仅填补了三联治疗无效亚型的临床空白,更重塑了慢阻肺病炎症表型分层-靶向干预的治疗范式,为该类患者的长期管理奠定循证基础。
嗜酸表型的慢阻肺病/哮喘
本瑞利珠单抗破解嗜酸型急性加重困局
慢阻肺病与哮喘均存在EOS驱动的急性加重亚型,这类患者常规激素冲击治疗缓解慢、复发率高且易出现激素相关副作用,而此前抗EOS生物制剂仅聚焦维持治疗,急性加重期靶向干预缺乏循证依据。本瑞利珠单抗(benralizumab,以下简称BENRA)作为抗IL-5受体α单克隆抗体,可快速诱导EOS凋亡、适合急性加重期快速控炎需求。
2025年1月,《柳叶刀∙呼吸医学》发表了一项多中心、2期、双盲、双模拟、活性安慰剂对照随机试验[11],探索本瑞利珠单抗疗效。ABRA研究纳入哮喘或慢阻肺病急性加重且血EOS≥300个/μL的成年人,按1:1:1随机分三组:BENRA+PRED组(单抗100 mg皮下注射1次+强的松龙30 mg/天×5天)、BENRA组(单抗100 mg皮下注射1次+安慰剂片×5天)、PRED组(强的松龙30 mg/天×5天+安慰剂皮下注射1次)。主要结局为BENRA+PRED组与PRED组的90天治疗失败率及第28天总VAS(视觉模拟评分)症状。
研究共纳入158例参与者,90天治疗失败率PRED组(74%)显著高于BENRA+PRED组(45%;比值比[OR],0.26;P=0.0005),28天总VAS平均差异为49毫米(P=0.0065),BENRA+PRED组疗效更佳,本瑞利珠单抗耐受性良好。
表2. PRED组和合并BENRA治疗组的主要终点[11]
ABRA研究核心价值在于填补急性加重期抗EOS生物治疗的循证空白,打破生物制剂仅用于维持治疗的传统认知,为两类疾病共通的嗜酸表型急性加重提供了统一、精准的治疗新路径,同时减少激素依赖,重塑该类急性加重靶向控炎优先的临床治疗新范式。
支气管哮喘
双效喷剂:轻度哮喘治疗新范式
全球哮喘防治创议组织(GINA)早已呼吁,轻度哮喘需摒弃单喷救急模式,而转向按需抗炎+缓解的联合方案,但此前缺乏针对轻度哮喘的大样本试验证据。
2025年7月,NEJM刊发了BATURA的研究成果[12]。作为首个聚焦轻度哮喘按需联合治疗的3期试验,BATURA采用创新的全远程设计,更贴近患者真实用药习惯。患者1:1随机分组,一组按需吸入沙丁胺醇-布地奈德固定剂量组合,另一组按需吸入沙丁胺醇单药,疗程最长52周。
主要终点为首次哮喘重度加重(≥3天全身糖皮质激素治疗、急诊/住院或哮喘死亡),采用至事件发生的时间分析(纳入有效观察组和意向治疗组),次要终点包括重度加重年发生率及全身糖皮质激素暴露量。
BATURA研究共筛选2516人随机入组,2421人纳入最终分析,期中分析显示,沙丁胺醇-布地奈德联合组较沙丁胺醇单药组显著获益:首次重度加重发生率5.1% vs 9.1%(HR,0.53;P<0.001),意向治疗分析及成人亚组结果一致,提示疗效稳健。联合组重度加重年发生率(0.15 vs 0.32;率比,0.47;P<0.001)与全身糖皮质激素年暴露量(23.2 mg vs 61.9 mg;下降62.5%)均显著降低,两组用药安全性无显著差异。
图5. 首次哮喘重度发作[12]
BATURA研究为轻度哮喘的管理提供了强有力的证据,推动了治疗范式从单纯缓解症状转向按需抗炎+缓解新模式,填补循证空白,重塑该类患者治疗范式。
ORACLE2解锁哮喘预防新逻辑
哮喘急性发作的预测与预防是疾病管理关键,传统风险评估方法存在明显局限,仅能在事件发生后识别。相比之下,识别可揭示潜在因果及可治疗生物通路的危险因素,对改善哮喘预后更具价值。ORACLE2研究正是为解决这一问题而开展。
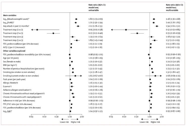
2025年6月,《柳叶刀·呼吸医学》发表了一项迄今规模最大的哮喘发作危险因素荟萃分析[13],纳入1993—2021年间发表的22项随机对照试验数据,共6513例患者。此项分析排除干预措施干扰,更真实地挖掘自然状态下导致哮喘发作的核心危险因素。
研究发现2型炎症生物标志物包括较高的血EOS计数与呼出气一氧化氮(FeNO)(每增加10倍,血EOS的率比为1.48,FeNO的率比为1.44)为哮喘急性发作的独立预测因子,二者协同可显著放大风险;其他因素如既往发作史(率比,1.94)、疾病严重程度(重度vs中度,率比为1.57)、预测FEV1百分比(FEV1%,每下降10%,率比为1.11)、哮喘控制问卷(ACQ)评分(每增加0.5,率比为1.10)等传统临床指标仍具有重要预测价值。有趣的是,支气管舒张试验可逆性12%(传统阳性界值)时急性发作率处于最低区间,而可逆性>25%时发作风险显著升高,这一发现超出传统认知。
图6. 基线特征与随访期间重度哮喘发作次数之间关联的森林图 [13]
ORACLE2建立起炎症+临床双维度风险评估模型,既破解了传统评估片面、无症状高危人群漏判的难题,又以临床易获取的指标简化了评估流程,适合基层应用,指导了高危人群的个性化预防方案,彻底重塑了哮喘从盲目规避诱因到精准预判-针对性干预的管理逻辑,为改善患者预后提供强循证支撑。
度普利尤单抗:清栓抑炎新范式
部分2型哮喘患者存在气道黏液栓隐形堵塞,会致肺功能下降、急性发作风险升高。度普利尤单抗作为阻断IL-4/IL-13通路的核心生物制剂,虽已证实能控制2型哮喘症状,但在减少黏液栓、改善气道结构方面仍缺乏证据,VESTIGE试验正是为此设计。
2025年3月,《柳叶刀·呼吸医学》发表了这项多国、多中心、随机、双盲、安慰剂对照的4期临床试验[14]。研究纳入109例中重度Ⅱ型炎症型哮喘患者(血EOS≥300/μL,FeNO≥25 ppb),每两周注射度普利尤单抗300 mg或安慰剂,持续24周。第24周时,度普利尤单抗组FeNO浓度低于25 ppb的患者比例显著高于安慰剂组(57% vs 11%;OR,9.8;P<0.001),并且试验组在减少黏液负担和改善肺功能方面也观察到名义上显著的结果。
VESTIGE试验填补了生物制剂对气道黏液栓干预效果的循证空白,研究为度普利尤单抗改善气道力学、小气道功能障碍、黏液堵塞的疾病潜力提供了有价值的见解,为顽固性2型哮喘提供精准方案,同时推动功能性呼吸成像的临床应用,重塑2型哮喘症状控制+结构修复的治疗逻辑。
GINA 2025核心破局,哮喘指南焕新
作为全球哮喘诊疗的金标准,GINA指南每一次更新都影响数亿哮喘患者的治疗方向。2025年6月《柳叶刀·呼吸医学》发表了2025版GINA指南[15],从诊断、治疗到管理全方位升级,堪称精准化管理里程碑。
1)诊断破局,低龄也能精准判断
GINA首次明确可对≤5岁儿童进行哮喘诊断,并提出三步验证法:重复急性喘息发作或至少一次伴哮喘样症状+排除其他可能诊断+抗哮喘治疗有效。同时,将诊断标准中“可变性呼气气流受限”调整为“可变性呼气气流”。这一修改更准确地反映了哮喘患者肺功能波动的特点,强调即使在没有检测到气流受限时,气流的可变性本身也是诊断的关键线索。
2)治疗策略升级,抗炎优先成铁律
指南强烈推荐所有严重程度的成人和青少年哮喘患者,只要条件允许,在缓解症状的同时也要进行抗炎治疗,从根源上降低急性发作风险;同时,对高剂量吸入型糖皮质激素疗程限定在3~6月,体现了指南对高剂量激素长期使用潜在不良反应的重视。
3)精准升级,2型炎症全程监测
2025 GINA首次将2型炎症标志物纳入诊疗核心流程,需全程监测,堪称最具突破性的变化。外周血EOS常规监测,有条件者加测FeNO。对于EOS≥300个/μL或FeNO≥25 ppb的患者,优先升级吸入型糖皮质激素剂量或联用生物制剂;标志物持续升高者1年内急性发作风险增加,需提前干预。
4)聚焦更新危险因素清单
GINA 2025报告纳入ORACLE2大规模患者数据分析,确认FeNO和EOS水平在预测未来急性发作风险及患者分型中的重要性,同时提示要结合临床整体判断,不以单一绝对阈值决定。
5)关注环境与个体化,管理维度更全面
指南首次设立独立章节,指出极端高温和严寒等气候变化因素会增加哮喘急性发作和急诊就诊风险,这提醒医患双方需将环境因素纳入日常管理的考量范围。新版指南将经典的“评估-调整-回顾”循环图重新设计,明确将“考虑生物标志物”加入到评估环节,并在确保吸入治疗依从性和技术问题已处理后再考虑高级干预。
限于篇幅,本文并未全部纳入2025年慢性气道疾病的所有临床研究。国内约有1.7亿包括慢阻肺病、支扩和哮喘在内的慢性气道疾病患者,这些患者受疾病所累,生活质量长期下降,病情反复急性加重和住院造成社会、家庭和个人的沉重负担。慢性气道疾病未满足的临床需求巨大,迫切需要更多同道投入高质量研究,推动诊疗进步。
参考文献
1. Xu JF, Zheng HZ, Lu HW, et al. Baseline characteristics of patients in the Chinese Bronchiectasis Registry (BE-China): a multicentre prospective cohort study. Lancet Respir Med 2025;13:166-76.
2. Chalmers JD, Burgel PR, Daley CL, et al. Phase 3 trial of the DPP-1 inhibitor brensocatib in bronchiectasis. N Engl J Med 2025;392:1569-81.
3. Bradley JM, O'Neill B, McAuley DF, et al. Hypertonic saline or carbocisteine in bronchiectasis. N Engl J Med 2025;393:1565-77.
4. Sibila O, Stobo J, Perea L, et al. Symptoms, risk of future exacerbations, and response to long-term macrolide treatment in bronchiectasis: an observational study. Lancet Respir Med 2025;13:911-20.
5. Chalmers JD, Haworth CS, Flume P, et al. European Respiratory Society Clinical Practice Guideline for the Management of Adult Bronchiectasis. Eur Respir J 2025 Dec 18 (Epub Ahead of Print).
6. Mettler SK, Nardelli P, Campo MI, et al. Longitudinal changes in airway mucus plugs and FEV(1) in COPD. N Engl J Med 2025;392:1973-5.
7. Venkatesan P. GOLD COPD report: 2025 update. Lancet Respir Med 2025;13:e7-e8.
8. Singh D, Brightling CE, Rabe KF, et al. Efficacy and safety of tezepelumab versus placebo in adults with moderate to very severe chronic obstructive pulmonary disease (COURSE): a randomised, placebo-controlled, phase 2a trial. Lancet Respir Med 2025;13:47-58.
9. Sciurba FC, Criner GJ, Christenson SA, et al. Mepolizumab to prevent exacerbations of COPD with an eosinophilic phenotype. N Engl J Med 2025;392:1710-20.
10. Bhatt SP, Rabe KF, Hanania NA, et al. Dupilumab for chronic obstructive pulmonary disease with type 2 inflammation: a pooled analysis of two phase 3, randomised, double-blind, placebo-controlled trials. Lancet Respir Med 2025;13:234-43.
11. Ramakrishnan S, Russell REK, Mahmood HR, et al. Treating eosinophilic exacerbations of asthma and COPD with benralizumab (ABRA): a double-blind, double-dummy, active placebo-controlled randomised trial. Lancet Respir Med 2025;13:59-68.
12. LaForce C, Albers F, Danilewicz A, et al. As-needed albuterol-budesonide in mild asthma. N Engl J Med 2025;393:113-24.
13. Meulmeester FL, Mailhot-Larouche S, Celis-Preciado C, et al. Inflammatory and clinical risk factors for asthma attacks (ORACLE2): a patient-level meta-analysis of control groups of 22 randomised trials. Lancet Respir Med 2025;13:505-16.
14. Castro M, Papi A, Porsbjerg C, et al. Effect of dupilumab on exhaled nitric oxide, mucus plugs, and functional respiratory imaging in patients with type 2 asthma (VESTIGE): a randomised, double-blind, placebo-controlled, phase 4 trial. Lancet Respir Med 2025;13:208-20.
15. Venkatesan P. 2025 GINA report for asthma. Lancet Respir Med 2025:S2213-2600(25)00242-5.
作者介绍
徐金富
主任医师、博导,同济大学附属同济医院院长,同济大学呼吸病研究所所长,长聘教授。国务院特贴专家、国家杰青、教育部高层次人才、上海市领军人才。兼任中华医学会呼吸病学分会副主任委员、中华预防医学会过敏疾病分会副主委、上海市医学会呼吸病学分会候任主任委员等。专注于呼吸系统常见病、疑难病和危重病的临床诊治与研究工作,研究聚焦支气管扩张症与感染。牵头创建中国支扩联盟(BE-China)。国家科技创新重大专项首席科学家,主持完成国家自然科学基金7项。
本文内容来源自“NEJM医学前沿”,原链接:徐金富教授:2025慢性气道疾病重要临床研究(慢阻肺、支扩、哮喘)
* 文章仅供医疗卫生相关从业者阅读参考
本文完
责编:Jerry
